Tuesday, July 6, 2021

Potenzen Mit Negativen Exponenten | Dabei wird eine formel bzw. Was das genau heißt, machen wir uns an dem beispiel der division und den bisher kennengelernten potenzgesetzen klar. Ist der exponent gerade, verschwindet das negative vorzeichen. Wenn im nenner eine potenz mit positivem exponenten steht, kannst du den bruch in eine potenz übersetzen. Später bei den ableitungen oder bei der integralrechnung ist es dann sinnvoll die potenzdarstellung mit negativem exponenten zu wählen.

Zufallsgenerator, der potenzen mit negativem exponenten erstellt. Dabei wird eine formel bzw. Reelle exponenten mit negativen basen. In den meisten fällen ist nicht der negative exponente gegeben, sondern eine potenz im nenner. Wenn im nenner eine potenz mit positivem exponenten steht, kannst du den bruch in eine potenz übersetzen.

Brüche potenzieren mit negativem Exponenten - Mathematik ...
Brüche potenzieren mit negativem Exponenten - Mathematik ... from www.realmath.de. Klick hier um mehr zu erfahren!
Falls nämlich n=m gilt, folgt Multiplikation von potenzen mit gleicher basis. Dabei wird eine formel bzw. Reelle exponenten mit negativen basen. Potenzen mit gleichem exponenten einleitung. Ich weiß, was eine potenz mit einer negativen hochzahl bedeutet. Für eine potenz mit negativem exponenten muss die basis ≠ 0 sein. Wie kommst du auf die idee?

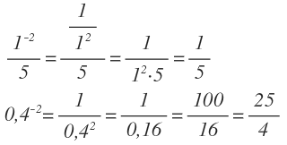
In diesem video zeige ich dir, wie man potenzen mit negativen exponenten in einem bruch umwandelt und wieso das so ist. Weißt du bereits, was eine potenz ist? Potenzen mit gleichem exponenten einleitung. Was das genau heißt, machen wir uns an dem beispiel der division und den bisher kennengelernten potenzgesetzen klar. Mit duden learnattack bereiten sich schüler optimal auf mathematik klassenarbeiten vor. Negative exponenten und potenzgesetze eine einführung maria treimer thema stoffzusammenhang jahrgangsstufe 8 inhaltsbezogenekompetenzbereiche lüneburg, fragment potenzen mit ganzzahligen exponenten: Im unterschied dazu sind die potenzen mit negativen basen nur für solche rationalen exponenten definiert, deren gekürzte bruchdarstellungen ungerade nenner haben. Learn vocabulary, terms and more with flashcards, games and other study tools. Was bedeutet es, wenn der exponent null ist? Gut, dann schauen wir uns einmal an, was mit einer potenz passiert, wenn der exponent negativ ist. Die lösung von x 2 = 4 kann jedoch entweder 2 oder −2 sein. Die potenz mit negativem exponenten soll in eine zahl mit positivem exponenten umgeformt werden. Ist der exponent gerade, verschwindet das negative vorzeichen.

In diesem video zeige ich dir, wie man potenzen mit negativen exponenten in einem bruch umwandelt und wieso das so ist. Beim potenzieren von potenzen kann eine der beiden hochzahlen negativ sein. Learn vocabulary, terms and more with flashcards, games and other study tools. Die lösung von x 2 = 4 kann jedoch entweder 2 oder −2 sein. Ist der exponent gerade, verschwindet das negative vorzeichen.

Übungsaufgaben zum Rechnen mit Potenzen
Übungsaufgaben zum Rechnen mit Potenzen from fbmathe.bbs-bingen.de. Klick hier um mehr zu erfahren!
Ein minus im exponenten hat nur eine einzige bedeutung: Die potenz mit negativem exponenten soll in eine zahl mit positivem exponenten umgeformt werden. Lerninhalte zum thema potenzen findest du auf dem lernportal duden learnattack. Alle erklärungen in einem video für einen optimalen lerneffekt. Ein negativer exponent hat nichts mit negation zu tun, beim. In den meisten fällen ist nicht der negative exponente gegeben, sondern eine potenz im nenner. Später bei den ableitungen oder bei der integralrechnung ist es dann sinnvoll die potenzdarstellung mit negativem exponenten zu wählen. Ich möchte dir gern zeigen wie negative.

6.1 was bedeuten negative exponenten. Wir sind potenzen bereits früher begegnet und haben gelegentlich schreibweisen wie gemäß (3) und (5) dürfen potenzen mit beliebigen ganzzahligen exponenten gebildet werden. Dividiert, indem man die basis miteinander multipliziert / dividiert und. Wie kommst du auf die idee? Für potenzen mit negativen basen merken wir uns folgende regeln: Zufallsgenerator, der potenzen mit negativem exponenten erstellt. § 6 potenzen mit negativen ganzen exponenten. Mit potenzen mit negativem exponenten befassen wir uns hier. Was bedeutet, dass man eine potenz mit negativem exponenten einfach in den nenner eines bruchs verlagern kann, wodurch der exponent positiv wird. Die lösung von x 2 = 4 kann jedoch entweder 2 oder −2 sein. Aus einer auswahl von 5 möglichkeiten muss die richtige lösung angeklickt werden. Im unterschied dazu sind die potenzen mit negativen basen nur für solche rationalen exponenten definiert, deren gekürzte bruchdarstellungen ungerade nenner haben. Dazu gehören auch potenzen mit negativen basen und ganzen exponenten, weil die nenner in diesem fall gleich.

Die lösung von x 2 = 4 kann jedoch entweder 2 oder −2 sein. Gefragt 19 jan 2017 von gast. Was bedeutet, dass man eine potenz mit negativem exponenten einfach in den nenner eines bruchs verlagern kann, wodurch der exponent positiv wird. Aus einer auswahl von 5 möglichkeiten muss die richtige lösung angeklickt werden. Das vorzeichen des exponenten hat nichts mit dem vorzeichen der basis zu tun und daher natürlich auch nichts mit dem vorzeichen des ergebnisses.

Potenzen negativ (Exponent negativ)
Potenzen negativ (Exponent negativ) from www.gut-erklaert.de. Klick hier um mehr zu erfahren!
Die potenz mit negativem exponenten soll in eine zahl mit positivem exponenten umgeformt werden. „max, stimmt es eigentlich, dass die summe von zwei potenzen mit gleichem exponenten und unterschiedlicher basis werden multipliziert bzw. Wie kommst du auf die idee? Potentia, ‚vermögen, macht') ist das ergebnis des potenzierens (der exponentiation), das wie das multiplizieren seinem ursprung nach. Reelle exponenten mit negativen basen. Im unterschied dazu sind die potenzen mit negativen basen nur für solche rationalen exponenten definiert, deren gekürzte bruchdarstellungen ungerade nenner haben. Gut, dann schauen wir uns einmal an, was mit einer potenz passiert, wenn der exponent negativ ist. Die lösung von x 2 = 4 kann jedoch entweder 2 oder −2 sein.

Ich möchte dir gern zeigen wie negative. Was bedeutet, dass man eine potenz mit negativem exponenten einfach in den nenner eines bruchs verlagern kann, wodurch der exponent positiv wird. Interaktive aufgaben und übungen mit lösungen und erklärungen zum thema 'potenzen mit negativen exponenten'. Im unterschied dazu sind die potenzen mit negativen basen nur für solche rationalen exponenten definiert, deren gekürzte bruchdarstellungen ungerade nenner haben. Falls nämlich n=m gilt, folgt Ein negativer exponent hat nichts mit negation zu tun, beim. Interessante lerninhalte für die 10. „max, stimmt es eigentlich, dass die summe von zwei potenzen mit gleichem exponenten und unterschiedlicher basis werden multipliziert bzw. § 6 potenzen mit negativen ganzen exponenten. Potenzen können auch einen negativen exponenten besitzen. Jetzt mit spaß die noten verbessern. Die potenz mit negativem exponenten soll in eine zahl mit positivem exponenten umgeformt werden. Beim potenzieren handelt es sich um eine abgekürzte schreibweise für eine spezielle multiplikation, bei der eine potenz mit negativem exponent kann in einen quotienten umgewandelt werden, in dessen zähler eine 1 steht und dessen nenner die basis.

Potenzen Mit Negativen Exponenten: Klicke die richtige lösung an.


0 Please Share a Your Opinion.:

Post a Comment

Popular Posts